统计量的标准误差(standard error)也称为标准误,它是指样本统计量分布的标准差。标准误差用于衡量样本统计量的离散程度,在参数估计中,它是用于衡量样本统计量与总体参数之间差距的一个重要尺度。就样本均值而言,样本均值的标准误差用
或
表示,计算公式为:

当总体标准差未知时,可用样本标准差
代替计算,这时计算的标准误差称为估计标准误差(standard error of estimation)。由于实际应用中,总体
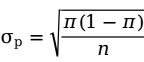
总是未知的,所计算的标准误差实际上都是估计标准误差,因此估计标准误差就简称为标准误差。相应地,样本比例的标准误差可表示为:

同样,当总体比例的方差
未知时,可用样本比例的方差
代替。