索  引  号: 1162042101391301xj/2024-00007 生成日期: 2024-07-24
文       号: 关键字: 教育,靖远县,引进,人才,拟
所属机构: 靖远县融媒体中心 发布机构:
靖远县教育系统2024年高层次人才和急需紧缺人才引进拟聘用人员名单公示
信息来源:靖远县人民政府
发布时间:2024-07-24 09:07
浏览次数:
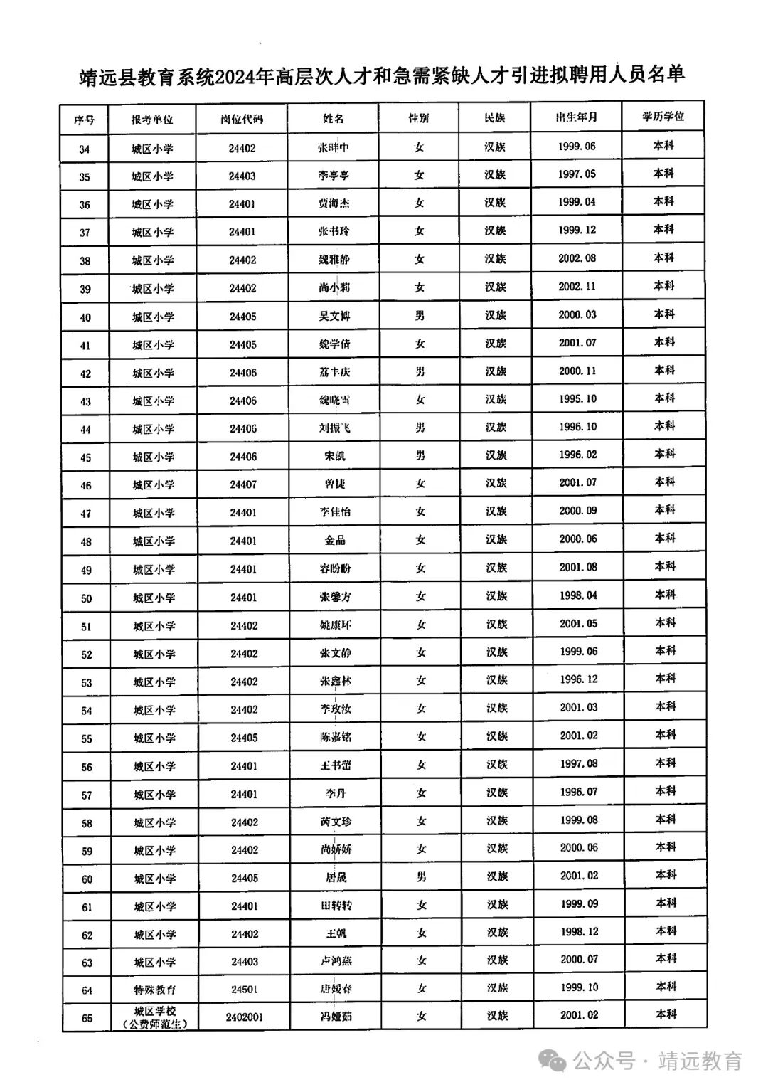
根据《靖远县教育系统高层次人才和急需紧缺人才引进工作实施方案》、《靖远县教育系统2024年引进高层次人才和急需紧缺人才公告》、《白银市教育系统2024年春季高层次人才和急需紧缺人才引进公告》,通过资格审查、现场面试确定65名拟考核考察、体检人员,经对以上65名人员考核考察、体检,均符合聘用条件。现将靖远县教育系统2024年高层次人才和急需紧缺人才引进拟聘用人员名单予以公示。

公示时间:2024年7月22日—2024年7月26日,共5个工作日(不含法定节假日)。公示期间无异议,将按程序办理相关手续。
监督电话:
    靖远县教育局监察股 0943-6130435 
附:靖远县教育系统2024年高层次人才和急需紧缺人才引进拟聘用人员名单

图片

图片


靖远县教育局
2024年7月22日


打印本页 关闭窗口